scanpy.pl.rank_genes_groups

scanpy.pl.rank_genes_groups#

scanpy.pl.rank_genes_groups(adata, groups=None, *, n_genes=20, gene_symbols=None, key='rank_genes_groups', fontsize=8, ncols=4, sharey=True, show=None, save=None, ax=None, **kwds)[source]#

Plot ranking of genes.

Parameters:
adata AnnData

Annotated data matrix.

groups str | Sequence[str] | None (default: None)

The groups for which to show the gene ranking.

gene_symbols str | None (default: None)

Key for field in .var that stores gene symbols if you do not want to use .var_names.

n_genes int (default: 20)

Number of genes to show.

fontsize int (default: 8)

Fontsize for gene names.

ncols int (default: 4)

Number of panels shown per row.

sharey bool (default: True)

Controls if the y-axis of each panels should be shared. But passing sharey=False, each panel has its own y-axis range.

show bool | None (default: None)

Show the plot, do not return axis.

save bool | None (default: None)

If True or a str, save the figure. A string is appended to the default filename. Infer the filetype if ending on {'.pdf', '.png', '.svg'}.

ax Axes | None (default: None)

A matplotlib axes object. Only works if plotting a single component.

Return type:

list[Axes] | None

Returns:

List of each group’s matplotlib axis or None if show=True.

Examples

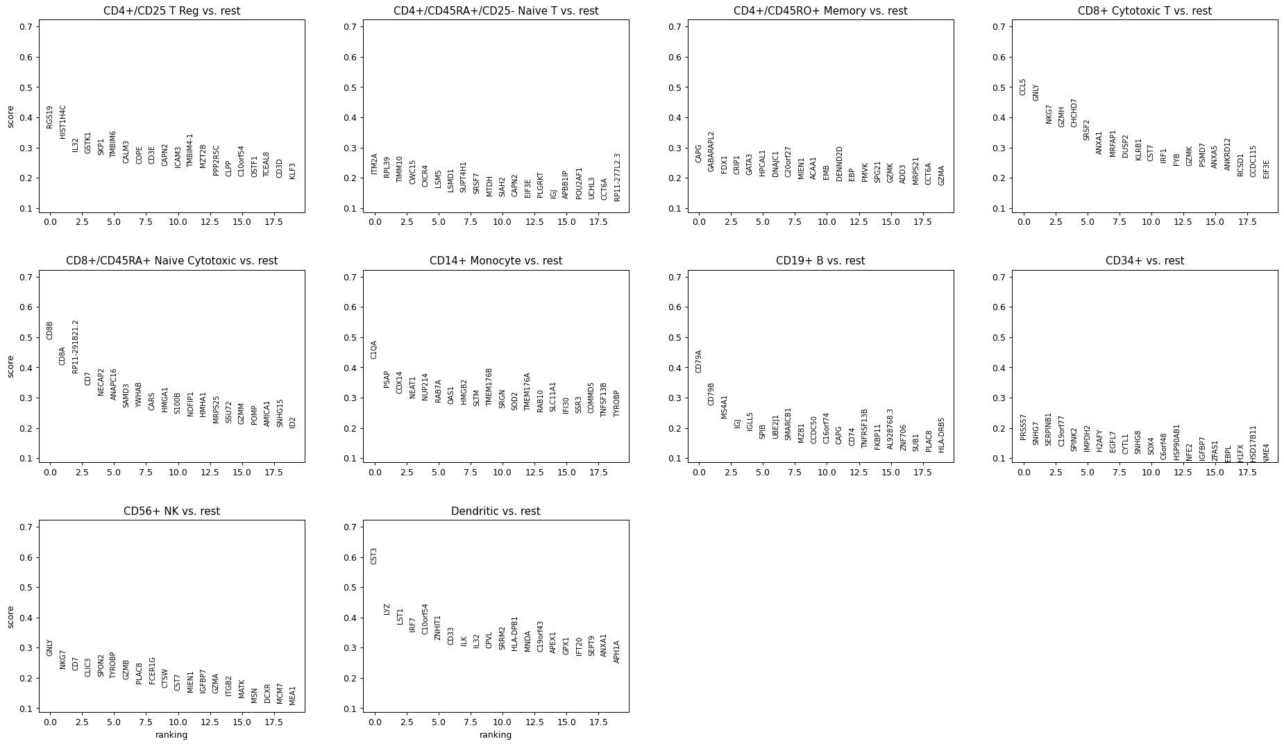
import scanpy as sc
adata = sc.datasets.pbmc68k_reduced()
sc.pl.rank_genes_groups(adata)
../../_images/scanpy-pl-rank_genes_groups-1.png

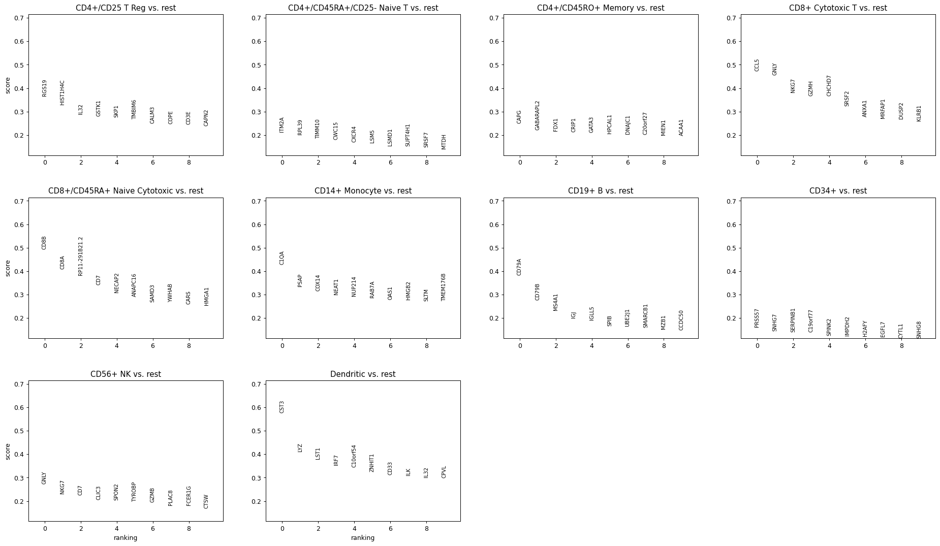
Plot top 10 genes (default 20 genes)

sc.pl.rank_genes_groups(adata, n_genes=10)
../../_images/scanpy-pl-rank_genes_groups-2.png